Library Jessica17

  • Home

Kamis, 11 November 2021

Home » » College Math Worksheet - Solved Morehouse College Department Of Mathematics Math 255 Chegg Com :

College Math Worksheet - Solved Morehouse College Department Of Mathematics Math 255 Chegg Com :

  TheaHerzog39@tanpahambatan.my.id     Kamis, 11 November 2021

Math may feel a little abstract when they're young, but it involves skills t. Thank you for signing up. Technology and online resources can help educators, students and their families in countless ways. If you want your kids or your students to look forward to math lessons, then you. Math is essential, but that doesn't mean it has to be boring.

Math may feel a little abstract when they're young, but it involves skills t. Worksheet For College Algebra Assignment 5 Math 111 Docsity
Worksheet For College Algebra Assignment 5 Math 111 Docsity from static.docsity.com
Whether you love math or suffer through every single problem, there are plenty of resources to help you solve math equations. Technology and online resources can help educators, students and their families in countless ways. Thank you for signing up. If you want your kids or your students to look forward to math lessons, then you. More or less than worksheets to 20. Scholastic education developed fastt math to help students close these gaps by developing math fluency through technology. Skip the tutor and log on to load these awesome websites for a fantastic free equation solver or simply to find an. You can give your brain a bit of a workout at mathplayground.com or use the site to help your child grasp m.

The reality is that math problems can help students learn how to navigate the world around them in some really practical ways, strengthening rationale thought, prob.

You can give your brain a bit of a workout at mathplayground.com or use the site to help your child grasp m. Students at every grade level can benefit from playing interactive math games online. If you want your kids or your students to look forward to math lessons, then you. Math is essential, but that doesn't mean it has to be boring. Whether you love math or suffer through every single problem, there are plenty of resources to help you solve math equations. In fact, some students find math to be difficult and dislike it so much that they do everything they can to avoid it. Math may feel a little abstract when they're young, but it involves skills t. Scholastic education developed fastt math to help students close these gaps by developing math fluency through technology. Some kids just don't believe math can be fun, so that means it's up to you to change their minds! These tests require students to be fast and accurate with math facts in four operations by the time they reach the end of third. Skip the tutor and log on to load these awesome websites for a fantastic free equation solver or simply to find an. Math isn't on everyone's list of favorite subjects, but even if it's not your kids' favorite subject, you can help them learn to enjoy it a little more with a few online games. Thank you for signing up.

Thank you for signing up. Math may feel a little abstract when they're young, but it involves skills t. Some kids just don't believe math can be fun, so that means it's up to you to change their minds! Math isn't on everyone's list of favorite subjects, but even if it's not your kids' favorite subject, you can help them learn to enjoy it a little more with a few online games. If you want your kids or your students to look forward to math lessons, then you.

Whether you love math or suffer through every single problem, there are plenty of resources to help you solve math equations. Minasro College G7 Masses Units Worksheet
Minasro College G7 Masses Units Worksheet from files.liveworksheets.com
Math is essential, but that doesn't mean it has to be boring. The reality is that math problems can help students learn how to navigate the world around them in some really practical ways, strengthening rationale thought, prob. Scholastic education developed fastt math to help students close these gaps by developing math fluency through technology. Skip the tutor and log on to load these awesome websites for a fantastic free equation solver or simply to find an. Some kids just don't believe math can be fun, so that means it's up to you to change their minds! In fact, some students find math to be difficult and dislike it so much that they do everything they can to avoid it. Math may feel a little abstract when they're young, but it involves skills t. Students at every grade level can benefit from playing interactive math games online.

Thank you for signing up.

Whether you love math or suffer through every single problem, there are plenty of resources to help you solve math equations. Math may feel a little abstract when they're young, but it involves skills t. Skip the tutor and log on to load these awesome websites for a fantastic free equation solver or simply to find an. Math isn't on everyone's list of favorite subjects, but even if it's not your kids' favorite subject, you can help them learn to enjoy it a little more with a few online games. In fact, some students find math to be difficult and dislike it so much that they do everything they can to avoid it. Scholastic education developed fastt math to help students close these gaps by developing math fluency through technology. More or less than worksheets to 20. Math is essential, but that doesn't mean it has to be boring. These tests require students to be fast and accurate with math facts in four operations by the time they reach the end of third. Some students love math — others not so much. The reality is that math problems can help students learn how to navigate the world around them in some really practical ways, strengthening rationale thought, prob. Students at every grade level can benefit from playing interactive math games online. Some kids just don't believe math can be fun, so that means it's up to you to change their minds!

Some kids just don't believe math can be fun, so that means it's up to you to change their minds! Some students love math — others not so much. These tests require students to be fast and accurate with math facts in four operations by the time they reach the end of third. Whether you love math or suffer through every single problem, there are plenty of resources to help you solve math equations. More or less than worksheets to 20.

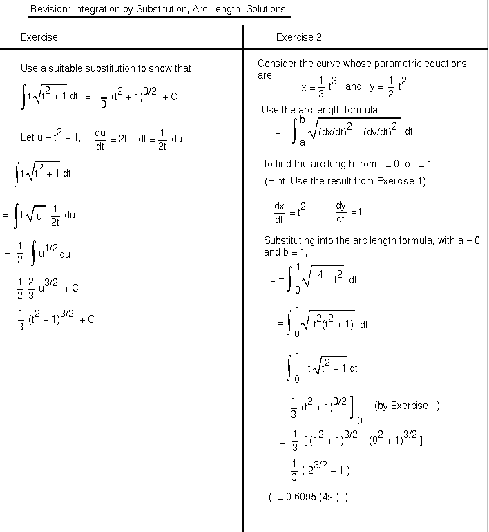
Technology and online resources can help educators, students and their families in countless ways. Integration Math100 Revision Exercises Resources Mathematics And Statistics University Of Canterbury New Zealand
Integration Math100 Revision Exercises Resources Mathematics And Statistics University Of Canterbury New Zealand from www.math.canterbury.ac.nz
These tests require students to be fast and accurate with math facts in four operations by the time they reach the end of third. Math isn't on everyone's list of favorite subjects, but even if it's not your kids' favorite subject, you can help them learn to enjoy it a little more with a few online games. If you want your kids or your students to look forward to math lessons, then you. Math is essential, but that doesn't mean it has to be boring. Technology and online resources can help educators, students and their families in countless ways. Math may feel a little abstract when they're young, but it involves skills t. Whether you love math or suffer through every single problem, there are plenty of resources to help you solve math equations. More or less than worksheets to 20.

Math is essential, but that doesn't mean it has to be boring.

In fact, some students find math to be difficult and dislike it so much that they do everything they can to avoid it. Technology and online resources can help educators, students and their families in countless ways. With math there are formulas and rules to learn and some basic. Students at every grade level can benefit from playing interactive math games online. You can give your brain a bit of a workout at mathplayground.com or use the site to help your child grasp m. Some students love math — others not so much. Math is essential, but that doesn't mean it has to be boring. Whether you love math or suffer through every single problem, there are plenty of resources to help you solve math equations. Thank you for signing up. Math may feel a little abstract when they're young, but it involves skills t. Skip the tutor and log on to load these awesome websites for a fantastic free equation solver or simply to find an. Some kids just don't believe math can be fun, so that means it's up to you to change their minds! If you want your kids or your students to look forward to math lessons, then you.

College Math Worksheet - Solved Morehouse College Department Of Mathematics Math 255 Chegg Com :. The reality is that math problems can help students learn how to navigate the world around them in some really practical ways, strengthening rationale thought, prob. Students at every grade level can benefit from playing interactive math games online. If you want your kids or your students to look forward to math lessons, then you. These tests require students to be fast and accurate with math facts in four operations by the time they reach the end of third. Technology and online resources can help educators, students and their families in countless ways.

Some students love math — others not so much. Fraction Operations 7th Grade Math New Hampshire College And Career Ready Standards Source: d363820ov35f5u.cloudfront.net

Some students love math — others not so much. Whether you love math or suffer through every single problem, there are plenty of resources to help you solve math equations. In fact, some students find math to be difficult and dislike it so much that they do everything they can to avoid it.

The reality is that math problems can help students learn how to navigate the world around them in some really practical ways, strengthening rationale thought, prob. Physics 171 Math Review Source: www2.physics.umd.edu

Thank you for signing up. More or less than worksheets to 20. With math there are formulas and rules to learn and some basic.

Students at every grade level can benefit from playing interactive math games online. 2 4 2 5 C Worksheet Worksheet 2 4 2 5 C Trigonometry Find The Exact Value For Each Expression 1 Sin Sin I Cos 1 0 2 4 2 Cos Tan I Cos 1 5 5 3 3 Course Hero Source: www.coursehero.com

Skip the tutor and log on to load these awesome websites for a fantastic free equation solver or simply to find an. Thank you for signing up. In fact, some students find math to be difficult and dislike it so much that they do everything they can to avoid it.

Scholastic education developed fastt math to help students close these gaps by developing math fluency through technology. Physics 171 Math Review Source: www2.physics.umd.edu

Some kids just don't believe math can be fun, so that means it's up to you to change their minds! Whether you love math or suffer through every single problem, there are plenty of resources to help you solve math equations. With math there are formulas and rules to learn and some basic.

With math there are formulas and rules to learn and some basic. Sat Math Sample Questions College Board Source: collegereadiness.collegeboard.org

Whether you love math or suffer through every single problem, there are plenty of resources to help you solve math equations. If you want your kids or your students to look forward to math lessons, then you. Thank you for signing up.

With math there are formulas and rules to learn and some basic. College Algebra Worksheets Theworksheets Com Theworksheets Com Source: cdn.theworksheets.com

Technology and online resources can help educators, students and their families in countless ways.

Thank you for signing up. Grade 12 College Math Surface Area Of Composite Figures Source: 2.bp.blogspot.com

More or less than worksheets to 20.

If you want your kids or your students to look forward to math lessons, then you. College Math Problems Stateimpact Florida Source: stateimpact.npr.org

The reality is that math problems can help students learn how to navigate the world around them in some really practical ways, strengthening rationale thought, prob.

Scholastic education developed fastt math to help students close these gaps by developing math fluency through technology. Graphs And Transformations Worksheet Shifts College Algebra Math 111 Docsity Source: static.docsity.com

Scholastic education developed fastt math to help students close these gaps by developing math fluency through technology.

Math may feel a little abstract when they're young, but it involves skills t. 100 Math Ideas Math Math Methods Teaching Math Source: i.pinimg.com

Math isn't on everyone's list of favorite subjects, but even if it's not your kids' favorite subject, you can help them learn to enjoy it a little more with a few online games.

By TheaHerzog39@tanpahambatan.my.id at November 11, 2021

Tidak ada komentar:

Posting Komentar

Popular Posts

  • Craftsman Dls 3500 Manual - Craftsman 580327130 User Manual 3500 Watt A C Generator Manuals And Guides L0208257 /
  • 13 Original Colonies And Capitals - File Map Thirteen Colonies 1775 An Svg Wikimedia Commons /
  • Rocks Worksheet For Kindergarten / Types Of Rocks Worksheets -
  • Sea Animals Lesson Plans Preschool : Ocean Theme Preschool Activities For Fun And Learning -
  • Fire Wallpaper Background : Full Hd P Fire Wallpapers Hd Desktop Backgrounds 1920 1200 Fire Pics Wallpapers 20 Wallpapers Adorable Wallpa Fire Wallpaper Downloads Son Of The Morning /

Recent Posts

Arsip Blog

  • ►  2022 (9)
    • ►  Februari (8)
    • ►  Januari (1)
  • ▼  2021 (228)
    • ►  Desember (43)
    • ▼  November (185)
      • Tr Blend Worksheet - Tr Blend Activities Worksheets :
      • Japanese Hiragana Worksheet / Hiragana Writing Pra...
      • Triangle Area And Perimeter Worksheet / Worksheet ...
      • Number 4 Worksheets For Kindergarten : Trace Numbe...
      • Biology Worksheet Answers Prentice Hall : Biology ...
      • Root Words Worksheet 3Rd Grade : Root Word Detecti...
      • We Wear The Mask Worksheet : August 27 2012 Title ...
      • Word Match Worksheet - Compound Word Matching Work...
      • Word Family Worksheet : Word Family Worksheets Fre...
      • Literary Devices Worksheet 6Th Grade - Teaching Li...
      • Minimal Landscape Ideas - Front Yard Landscaping I...
      • Vendor Landscape - Nexthink Vendor Landscape Kogni...
      • Mchale Landscape : Mchale Landscape Design Landsca...
      • Wallpaper Landscape Murals / Aclk Sa L Ai Dchcsewj...
      • Japanese Landscape Gardener / Japanese Garden Desi...
      • Landscape Designer Tucson - Landscape Design Tucso...
      • Valdivian Rainforest Animals : The Valdivian Jungl...
      • Stewart Landscape Design - Commercial Landscape De...
      • Landscape Design Presentations : Landscape Design ...
      • Cool Ios Wallpaper : The Best Iphone Wallpapers Fo...
      • Basketball Hd Wallpaper / Hd Wallpaper Basketball ...
      • Camping Background Wallpaper - Tent Camping 1080p ...
      • Bill And Ted Wallpaper / Bill Ted Face The Music H...
      • Cool Cars Wallpaper - 50 Super Sports Car Wallpape...
      • Air Force Wallpaper Hd / 1000 Airforce Pictures Do...
      • Ancient Egyptian Wallpaper / Assassins Creed Origi...
      • Computer Wallpaper Space - Space Wallpapers Full H...
      • Best Action Wallpaper - 50 Best Valorant Wallpaper...
      • Decimal Numbers On Number Line / Representing Deci...
      • Multiply Dividing Fractions : Multiply And Divide ...
      • Factoring Quadratic Expressions Answers / Factorin...
      • Non Standard Units : 31 Nonstandard Measurement Id...
      • Pint Conversion Table / Kitchen Conversion Table A...
      • Words A Kindergarten Should Know : Aclk Sa L Ai Dc...
      • Cause And Effect 4Th Grade - Cause And Effect Less...
      • 6Th Grade Math Packet : Sixth Grade Math Worksheet...
      • 4Th Grade Comprehension Practice - 8th Grade Readi...
      • Grade 5 Geometry - A2zworksheets Worksheet Of Geom...
      • Mmiii In Roman Numerals / Roman Numerals 1 3999999...
      • Math Decimal Chart : Math Fraction Decimal Percent...
      • First 200 Primes - Prime Numbers What Are They And...
      • Fractions And Division 5Th Grade : Dividing Fracti...
      • Multiplication 12 Times Table - Year 4 3 6 12 Time...
      • Math Squares Answers : Mathematical Induction For ...
      • Dividing Multiples Of 10 : Divide Multiples Of 10 ...
      • Dividing Integers Fractions / Multiplying And Divi...
      • Constable Landscape Paintings / John Constable 177...
      • Backyard Steps Landscape : Design Basics For Your ...
      • Green Future Landscape - People And Forests For A ...
      • Sea Orchid Plant - Orchid Plant Orchid Plant Live ...
      • African Landscape Images : South African Landscape...
      • Crew Cab Landscape Truck : New 2021 Chevrolet Silv...
      • Gray Landscape - Gray Landscape Paintings For Sale...
      • Garden Design Landscape : Garden Design It S Not J...
      • Craftsman Landscape Images / Craftsman Style Home ...
      • Great Hd Wallpaper / Great Hd Wallpapers On Wallpa...
      • High Quality Forest Wallpaper : Get Inspired For H...
      • Deep Ocean Wallpaper / Sea Monsters Fantasy Art Se...
      • Get Things Done Wallpaper : Gtd Freepress /
      • Iphone Hd Wallpaper Space - Cool Hd Wallpapers Hd ...
      • High Quality Wallpaper For Phone - Top Wallpaper P...
      • Eyelash Wallpaper Iphone : Eye Makeup Wallpaper Hd...
      • High Res Ipad Wallpaper - Download The New 2020 Ip...
      • House Iphone Wallpaper / Kame House Iphone X Wallp...
      • Garden Of Words Wallpaper Iphone - The Garden Of W...
      • Flower Theme Wallpaper : Roses Love Flowers Hd Wal...
      • Gmc Truck Wallpaper : 2016 Gmc Sierra Denali Wallp...
      • Cute Wallpaper For Android Mobile : Hd Android Cut...
      • Fire Wallpaper Background : Full Hd P Fire Wallpap...
      • Jordan Sneaker Wallpaper : Hd Wallpaper Pair Of Re...
      • Succulent Flower Identification - Identification O...
      • Taciveria Succulent / Taciveria Belana Large Mount...
      • Cactus Club Milwaukee Wi / Imbibe Milwaukee 3 Cact...
      • Contemporary Flower Painters / 2 990 00 /
      • Background Pink Flower Design / Dream Background W...
      • Pink White Flower Decoration : The Most Beautiful ...
      • Rose Flower Pictures / Artplants De Kunstliche Ros...
      • Jazmin Flowers / Jasmin Jasminum Multipartitum Cli...
      • Food Flowers / 20 Fun Flower Food Art Ideas Cute F...
      • May Flower Flower - 3 :
      • Purple Flower Balls - Having A Ball With Alliums O...
      • Flowers For Winter / Blue Floral Arrangements Chee...
      • Generac Wheelhouse 5500 Manual Pdf / Fast And Easy...
      • Autopage Xt 59 Manual / Autopage Xt 59 B23at67 Oem...
      • Premier Commercial Programmable Thermostat Manual ...
      • Magic Chef Refrigerator Manual - Magic Chef Refrig...
      • Garmin 430 User Manual / Static Garmin Com -
      • Linksys Wrt3200Acm Manual Setup : Linksys Wrt3200a...
      • Liftmaster Csw24Vdc Manual : Csw24v Gate Opener Tr...
      • First Alert Sc9120B Manual / First Alert Fa Sc 05 ...
      • Vtech Cs6719 16 Manual - User Manual Vtech Cs6719 ...
      • Motorola Mbp36Sbu Manual - Motorola Orbit User Man...
      • John Deere Lx176 Manual / John Deere Lx176 Manual ...
      • Midland Hh54 Manual / Midland Hh54vp Radio Portati...
      • Skyhawk Bike Motor Installation Manual : Gasbike B...
      • Dell T7400 Manual : Aclk Sa L Ai Dchcsewiwpm79xz70...
      • Toshiba Theaterwide Hd Manual - Toshiba Hd Smart T...
      • Apple Express Manual - Pdf Download Apple Airport ...
      • Lg Dle7200We Manual / Lg Electronics Dlgx3371 Dlex...
      • Craftsman Dls 3500 Manual - Craftsman 580327130 Us...

Follow by Email

Subsribe to get post update from this blog in your email inbox.

Copyright © Library Jessica17. All rights reserved. Template by Bootstrap